การแสดงผล

+
-

ข่าวประชาสัมพันธ์

...

จัดประชุมคณะอนุกรรมการพัฒนาแรงงานและประสานงานการฝึกอาชีพจังหวัด(กพร.ปจ) ครั้งที่ 2/2564

22 ก.ย. 2564
...

สำนักงานพัฒนาฝีมือแรงงานน่านจัดกิจกรรมประชุมให้ความรู้ด้านคุณธรรมจริยธรรมกับเจ้าหน้าที่

11 ก.ย. 2564
...

ประชุมเจ้าหน้าที่เพื่อชี้แจงการกำหนดตัวชี้วัดรายบุคคลเพื่อกำกับการมอบหมายงานให้กับเจ้าหน้าที่

11 ก.ย. 2564
...

สำนักงานพัฒนาฝีมือแรงงานน่าน จัดกิจกรรมให้ความรู้การให้บริการทางโทรศัพท์

11 ก.ย. 2564
...

ขอเผยแพร่งบทดลองประจำเดือน สิงหาคม 2564

8 ก.ย. 2564
...

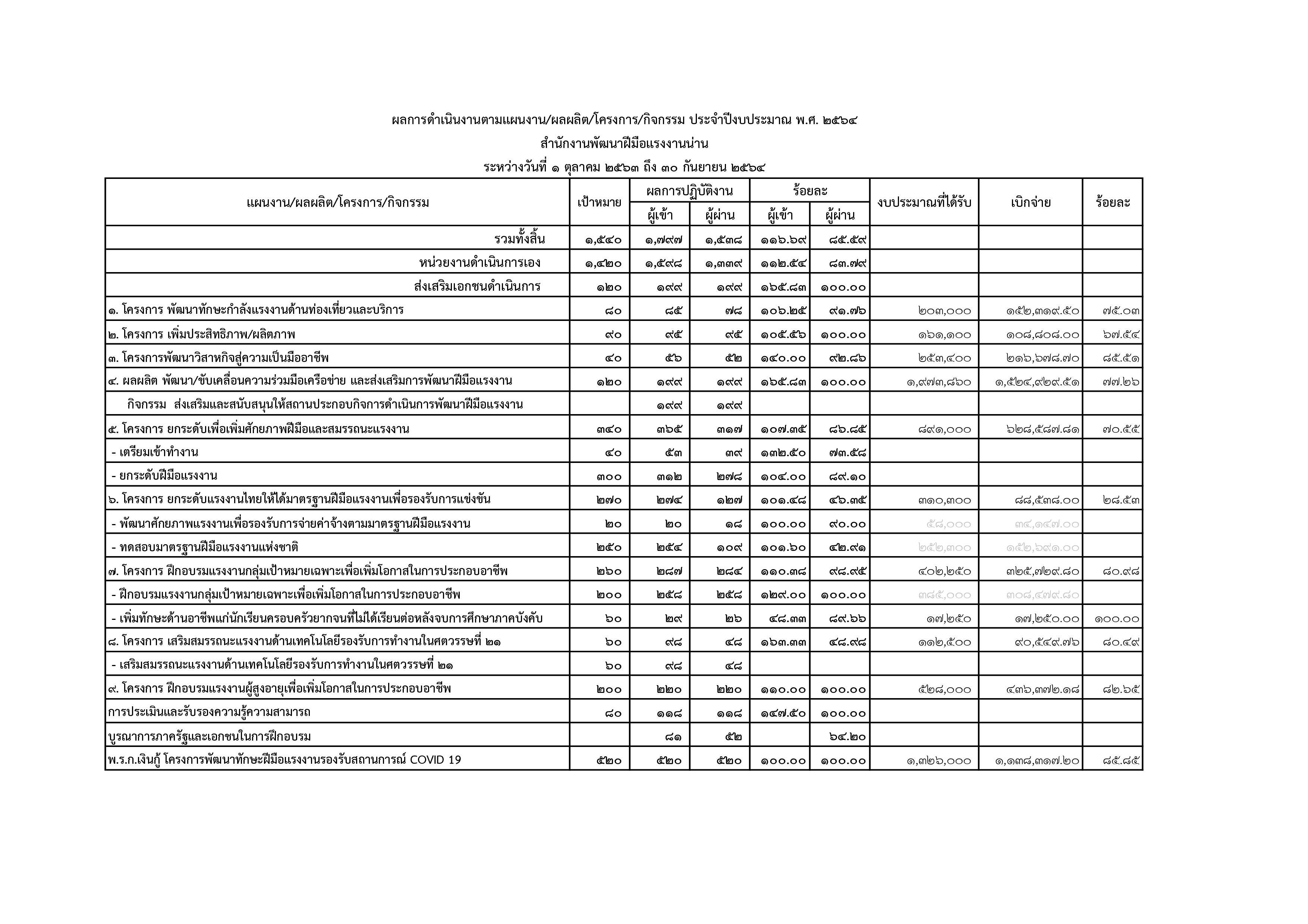
ผลการดำเนินงานและผลการเบิกจ่ายงบประมาณ ประจำปีงบประมาณ พ.ศ.2564 (12เดือน)

6 ก.ย. 2564

ประชุมคณะกรรมการป้องกันและปราบปรามการทุจริตประจำหน่วยงาน

31 ส.ค. 2564

การแก้ไขปัญหาการทุจริต

20 ส.ค. 2564
...

ประสิทธิภาพการสื่อสาร

10 ส.ค. 2564