การแสดงผล

+
-

ข่าวประชาสัมพันธ์

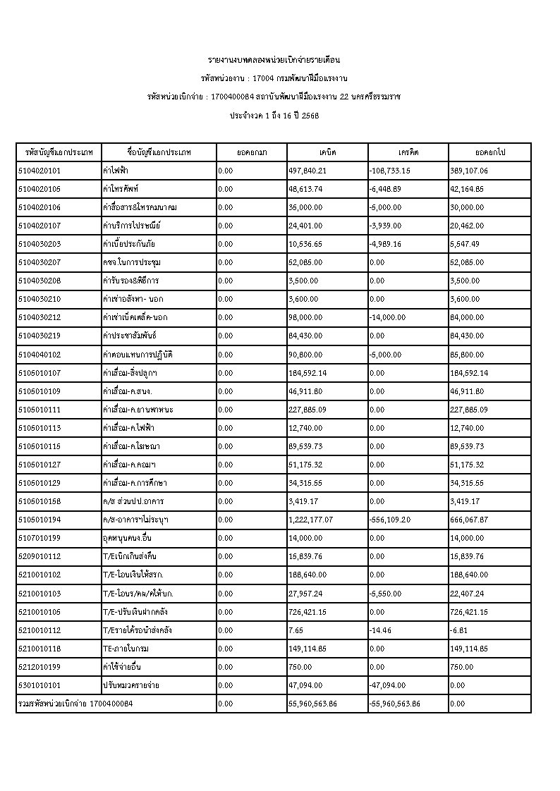
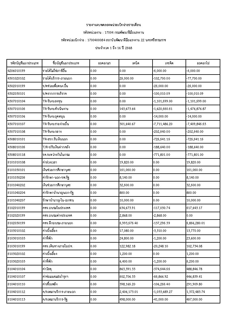
เผยแพร่งบทดลอง ประจำปีงบประมาณ พ.ศ. 2568 สถาบันพัฒนาฝีมือแรงงาน 22 นครศรีธรรมราช

29 ต.ค. 2568

เผยแพร่งบทดลอง ประจำปีงบประมาณ พ.ศ. 2568 สถาบันพัฒนาฝีมือแรงงาน 22 นครศรีธรรมราช

 

 

รายละเอียดประกอบรายการบัญชีที่สำคัญงบทด

 

2568 Page1

 

2568 Page2

 

2568 Page3

 

2568 Page4